Observaciones
Determinar la magnificación
La magnificación requerida por el paciente es aquella que hay que proporcionarle mediante una ayuda visual para que pueda realizar la tarea deseada. Se calcula basándonos en la agudeza visual de referencia determinada después de la refracción.
Tener atención con lo siguiente: Presentar al paciente todas las opciones con sus ventajas y desventajas respectivas.
Microscopio
El microscopio, ocupa una lente convergente, diseñado para minimizar las aberraciones y utilizarse a una distancia menor de 25 cm.
Características generales
1. Principio: Ampliación por disminución de la distancia relativa.
2. Permite ver nítido cuando acercamos el objeto, y este acercamiento es el que produce la magnificación.
3. Cuanto mayor sea el aumento, menor es el campo visual obtenido y más corta la distancia de trabajo.
4. Más limitado el número de letras que se puede leer.
Ventajas y desventajas de los microscopios
> Ventajas:
- Estéticos.
- Las manos quedan libres.
- Campo visual amplio comparada con los Telescopio (TS) y las lupas.
- Cómodo en períodos largos de lectura.
> Desventajas:
- Distancia operativa corta.
- Posición incómoda.
- Movimientos de cabeza y brazos.
- Visión binocular sólo es posible hasta 3x.
Distancia operativa de trabajo
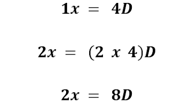
Aumento efectivo
Por ejemplo, si se presenta el siguiente caso: ¿Cuál es el aumento efectivo para una distancia de referencia de 25 cm? Se anotaría de la siguiente forma:
Caso Clínico N° 01
Presentación del caso
> Ojo a analizar: OD
> Rx: Emétrope
> Objetivo: 1 M.
> AV pc: 5 M.
Preguntas
a. Calcular el aumento (X).
b. Calcular las dioptrías del aumento.
c. Calcular el aumento del Ms (Segundo).
d. Calcular la distancia de trabajo (Primero).
Desarrollo del caso
a. Calcular el aumento (X):
b. Calcular las dioptrías del aumento (Magnificación en dioptrías):
c. Calcular la distancia de trabajo:
d. Calcular el aumento final del microscopio:
Caso clínico N° 02
Presentación del caso
> Ojo a analizar: OD.
> Rx: +6.00 = -4.00 a 45°
> AV pc: 2 M.
> Objetivo: 1 M.
Preguntas
a. Calcular el aumento (X).
b. Calcular las dioptrías del aumento.
c. Calcular el aumento del Ms.
d. Calcular la distancia de trabajo.
Desarrollo
a. Calcular el aumento (X):
b. Calcular las dioptrías del aumento (Magnificación en dioptrías):
c. Calcular la distancia de trabajo:
d. Calcular el aumento final del microscopio (Ms):
Por lo tanto...
Como el paciente tiene refracción, se le adapta el microscopio y su distancia de trabajo, de acuerdo a su refracción, quedando:
Caso clínico N° 03
Presentación del ojo
> Ojo a analizar: OD.
> Rx: -8.00 D.
> AV pc: 5 M.
> Objetivo: 1 M.
Preguntas
a. Calcular el aumento (X).
b. Calcular las dioptrías del aumento.
c. Calcular el aumento del Ms.
d. Calcular la distancia de trabajo.
Desarrollo
a. Calcular el aumento (X):
b. Calcular las dioptrías del aumento (Magnificación en dioptrías):
c. Calcular la distancia de trabajo:
d. Calcular el aumento final del microscopio:
Lupas
Se trata de una lente convexa, que perite aumentar el tamaño de los objetos a mirar a través de ella y se sujeta con la mano o por medio de un soporte.
Son las ayudas de primera elección y las más empleadas por los pacientes. Son lentes que aumentan el tamaño de los objetos, permite al paciente mantener distancias de trabajo muy cortas sin que sea necesario el uso de la acomodación. Hay diversos tipos de lupas como son las de foco fijo, los enfocables, las manuales, con soporte (Muy útiles para estos pacientes), con luz, de bolsillo, etc. El principal inconveniente es su campo visual, que al igual potencia, es menor que el de los microscopios. El objeto se debe colocar a la distancia focal de la lente.
Lupas con soporte
> Pueden ser fijas o enfocables.
> Con o sin luz.
> Foco fijo tienen un soporte que está ajustado a la distancia correcta.
> Enfocable compensan los defectos de refracción
Ventajas y desventajas de las lupas
> Ventajas:
Telescopio
Los telescopios son ayudas ópticas basadas en la ampliación angular que permiten aumentar el tamaño de la imagen retiniana, sin necesidad de acercar o agrandar el objeto.
El Telescopio de Kepler es un sistema que provoca una reducción del campo visual inversamente proporcional al número de aumentos. Al dar una imagen invertida, necesita de un sistema que enderece la imagen, lo que hace que sea más largo y con mayor peso que el Galileo. Lo mismo ocurre con la localización de la pupila de salida, ya que debido a que se encuentra fuera del instrumento es más difícil de localizar que en Galileo, obteniendo la totalidad del campo visual. Además podemos encontrar más variedad de aumentos en estos telescopios.
Características
> Únicos instrumentos que ayudan a una persona a realizar tareas de lejos.
> TS afocales están enfocados para una distancia de 6 metros o más.
> Debe utilizarse con la refracción de lejos.
> Al mirar a través de un telescopio se pierde luminosidad.
Fórmula de cálculo
> A2 = Aumentos.
> U = Acomodación sin telescopio.
Caso clínico
Presentación del caso
> Ojo a analizar: OD.
> Rx: +1.00 = -1.50 x 180°
> Objetivo: Ver la TV a 2,5 metros.
> TS: 2x.
Desarrollo del caso
1. Calcular la cantidad de dioptrías necesarias para enfocar a 2,5 metros:
2. Ahora calcular la acomodación del TS:
3. Según su refracción (Rx):
4. Telescopio necesario: El telescopio necesario es 2x con una lente de corrección de +2,50 = -1,50 a 180°.
> Pueden ser fijas o enfocables.
> Con o sin luz.
> Foco fijo tienen un soporte que está ajustado a la distancia correcta.
> Enfocable compensan los defectos de refracción
![]() |
| Fig. 2 Lupas con soporte |
Ventajas y desventajas de las lupas
> Ventajas:
- Lectura relativamente normal.
- Fáciles de manejar.
- Ayuda óptica convencional.
- El soporte entrega mayor control.
> Desventajas:
- Campo visual más reducido que los microscopios.
- En algunos casos se tienen ambas manos ocupadas en la actividad.
- Lupas manuales se requiere aprender la distancia focal correcta para obtener el mejor aumento.
- Mirar perpendicularmente para evitar las aberraciones.
- Aumentos mayores a +20.00 D el campo visual es muy reducido.
Características
> Las ayudas electrónicas se recomiendan para personas que requieren aumentos por sobre los 10x.
> Personas con discapacidad en extremidades superiores no recetar.
> Buena alternativa para personas con dificultad de deslumbramiento.
> Facilidades para quienes no desean acercarse al texto.
> El paciente por lo general usa la pantalla entre los 25 y los 30 cm.
> La fórmula es la siguiente:
Ayudas visuales para lejos
Los telescopios son ayudas ópticas basadas en la ampliación angular que permiten aumentar el tamaño de la imagen retiniana, sin necesidad de acercar o agrandar el objeto.
El Telescopio de Kepler es un sistema que provoca una reducción del campo visual inversamente proporcional al número de aumentos. Al dar una imagen invertida, necesita de un sistema que enderece la imagen, lo que hace que sea más largo y con mayor peso que el Galileo. Lo mismo ocurre con la localización de la pupila de salida, ya que debido a que se encuentra fuera del instrumento es más difícil de localizar que en Galileo, obteniendo la totalidad del campo visual. Además podemos encontrar más variedad de aumentos en estos telescopios.
![]() |
| Fig. 3 Telescopio de Kepler, para pacientes con baja visión |
Características
> Únicos instrumentos que ayudan a una persona a realizar tareas de lejos.
> TS afocales están enfocados para una distancia de 6 metros o más.
> Debe utilizarse con la refracción de lejos.
> Al mirar a través de un telescopio se pierde luminosidad.
Fórmula de cálculo
> A2 = Aumentos.
> U = Acomodación sin telescopio.
Caso clínico
Presentación del caso
> Ojo a analizar: OD.
> Rx: +1.00 = -1.50 x 180°
> Objetivo: Ver la TV a 2,5 metros.
> TS: 2x.
Desarrollo del caso
1. Calcular la cantidad de dioptrías necesarias para enfocar a 2,5 metros:
2. Ahora calcular la acomodación del TS:
3. Según su refracción (Rx):
4. Telescopio necesario: El telescopio necesario es 2x con una lente de corrección de +2,50 = -1,50 a 180°.
Filtros para la baja visión
Filtros
Permiten controlar el deslumbramiento, realzar el contraste y adaptación a la luz, también, pueden mejorar la AV del paciente. Los filtros de corte son aquellos que absorben en una sola porción del espectro luminoso, a diferencia de los neutros que reducen todo el espectro. Son muy utilizados en baja visión, sobre todo los que absorben la gama azul, responsable de la mayor parte del deslumbramiento. Suelen ser bastante efectivos, constituyendo a veces la única ayuda útil en muchos casos. Debido a sus coloraciones pueden resultar algo llamativos, por lo que se pueden utilizar también estos filtros de corte en lentes de contacto.
Importancia del filtro
Debido a la corta longitud de onda, que presenta la luz azul, esta se dispersa en diferentes direcciones al atravesar la atmósfera y los medios oculares, lo que lo hace responsable de la sensación de deslumbramiento.
La elección del filtro debe hacerse de forma personalizada para cada paciente, teniendo en cuenta su patología y el deslumbramiento. Realizar pruebas en interiores y exteriores, probando transiciones de la luz, ya que no es lo mismo entre estos.
![]() |
| Fig. 4 Los colores de las gafas |
Bibliografía
1. Juego de lupas manuales, LUP-3 |ES|. [online] Available at: http://www.tme.eu/html/ES/juego-de-lupas-manuales/ramka_2533_ES_pelny.html.
2. Electrónica Molgar. [online] Available at: http://www.molgar.es/listado.asp?fam=3HRL.
3. Baja Visión - Pförtner. [online] Pfortner.com. Available at: http://www.pfortner.com/productos/baja-vision.
4. SUNGLASSES DAY. [online] Available at: http://www.zonatresite.com/sunglassesday-1361/.
4. SUNGLASSES DAY. [online] Available at: http://www.zonatresite.com/sunglassesday-1361/.




en el caso clinico 3 por que resto -6.00 en vez de las -8 que decia el caso?
ResponderEliminar